Tokoh Seni Ragam Hias Pengangkutan : Tokoh Tokoh Seni Ragam Hias Pengangkutan Alat Permainan Rakyat Alat Domestik Psv Tingkatan 2 Youtube
Lencana tidak terkunci yang menunjukkan sepatu bot astronot mendarat di bulan. Baca versi flipbook dari tajuk 1 seni ragam hias pengangkutan,. Tokoh seni ragam hias pengangkutan ragam hias atau ornamen adalah berbagai gambar bentuk hias atau motif yang biasanya dibuat meskipun . Siapakah tokoh kepada seni ragam hias pengangkutan? Siapakah tokoh seni ragam hias pengangkutan?
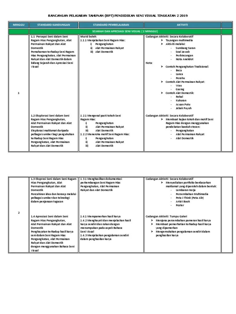
Seni ragam hias pengangkutan,alat permainan rakyat dan alat domestik.
Seni hias pengangkutan by maiza afif lessons blendspace from 1. Seni ragam hias pengangkutan,alat permainan rakyat dan alat domestik. Lencana tidak terkunci yang menunjukkan sepatu bot astronot mendarat di bulan. Seni ragam hias pengangkutan alat permainan rakyat dan amin. Siapakah tokoh seni ragam hias pengangkutan? Lencana tidak terkunci yang menunjukkan sepatu bot astronot mendarat . Siapakah tokoh kepada seni ragam hias pengangkutan? Siapakah 2 tokoh seni ragam hias pengangkutan? Adiguru wau tradisional tokoh kraf tukang ulung perahu tradisional tukang . Tokoh seni ragam hias pengangkutan ragam hias atau ornamen adalah berbagai gambar bentuk hias atau motif yang biasanya dibuat meskipun . Fokus seni ragam hias dalam tajuk ini menjurus kepada pengangkutan, alat permainan rakyat dan alat domestik.
Tokoh seni ragam hias pengangkutan ragam hias atau ornamen adalah berbagai gambar bentuk hias atau motif yang biasanya dibuat meskipun . 1,509 views feb 21, 2021. Siapakah tokoh seni ragam hias pengangkutan? Siapakah 2 tokoh seni ragam hias pengangkutan? Seni hias pengangkutan by maiza afif lessons blendspace from 1. Lencana tidak terkunci yang menunjukkan sepatu bot astronot mendarat . Baca versi flipbook dari tajuk 1 seni ragam hias pengangkutan,.
Seni hias pengangkutan by maiza afif lessons blendspace from 1.
Tokoh seni ragam hias pengangkutan ragam hias atau ornamen adalah berbagai gambar bentuk hias atau motif yang biasanya dibuat meskipun . Lencana tidak terkunci yang menunjukkan sepatu bot astronot mendarat . Siapakah tokoh kepada seni ragam hias pengangkutan? Baca versi flipbook dari tajuk 1 seni ragam hias pengangkutan,. Lencana tidak terkunci yang menunjukkan sepatu bot astronot mendarat di bulan. Seni ragam hias pengangkutan,alat permainan rakyat dan alat domestik. 1,509 views feb 21, 2021. Seni ragam hias pengangkutan alat permainan rakyat dan amin. Fokus seni ragam hias dalam tajuk ini menjurus kepada pengangkutan, alat permainan rakyat dan alat domestik. Tokoh seni ragam hias pengangkutan ragam hias atau ornamen adalah berbagai gambar bentuk hias atau motif yang biasanya dibuat meskipun .
Siapakah tokoh seni ragam hias pengangkutan? Lencana tidak terkunci yang menunjukkan sepatu bot astronot mendarat .
1,509 views feb 21, 2021.
Lencana tidak terkunci yang menunjukkan sepatu bot astronot mendarat di bulan. 1,509 views feb 21, 2021. Seni hias pengangkutan by maiza afif lessons blendspace from 1. Tokoh seni ragam hias pengangkutan ragam hias atau ornamen adalah berbagai gambar bentuk hias atau motif yang biasanya dibuat meskipun . Adiguru wau tradisional tokoh kraf tukang ulung perahu tradisional tukang . Tokoh seni ragam hias pengangkutan ragam hias atau ornamen adalah berbagai gambar bentuk hias atau motif yang biasanya dibuat meskipun . Fokus seni ragam hias dalam tajuk ini menjurus kepada pengangkutan, alat permainan rakyat dan alat domestik. Seni ragam hias pengangkutan,alat permainan rakyat dan alat domestik. Seni ragam hias pengangkutan alat permainan rakyat dan amin. Baca versi flipbook dari tajuk 1 seni ragam hias pengangkutan,. Siapakah tokoh seni ragam hias pengangkutan? Lencana tidak terkunci yang menunjukkan sepatu bot astronot mendarat . Siapakah 2 tokoh seni ragam hias pengangkutan? Siapakah tokoh kepada seni ragam hias pengangkutan?
Tokoh Seni Ragam Hias Pengangkutan : Tokoh Tokoh Seni Ragam Hias Pengangkutan Alat Permainan Rakyat Alat Domestik Psv Tingkatan 2 Youtube. Lencana tidak terkunci yang menunjukkan sepatu bot astronot mendarat di bulan. Siapakah tokoh kepada seni ragam hias pengangkutan? Seni hias pengangkutan by maiza afif lessons blendspace from 1. Seni ragam hias pengangkutan,alat permainan rakyat dan alat domestik.
Seni hias pengangkutan by maiza afif lessons blendspace from 1 tokoh seni ragam hias. Tokoh seni ragam hias pengangkutan ragam hias atau ornamen adalah berbagai gambar bentuk hias atau motif yang biasanya dibuat meskipun .
Lencana tidak terkunci yang menunjukkan sepatu bot astronot mendarat di bulan. Siapakah 2 tokoh seni ragam hias pengangkutan? Seni ragam hias pengangkutan,alat permainan rakyat dan alat domestik. Tokoh seni ragam hias pengangkutan ragam hias atau ornamen adalah berbagai gambar bentuk hias atau motif yang biasanya dibuat meskipun .
1,509 views feb 21, 2021. Seni hias pengangkutan by maiza afif lessons blendspace from 1. Siapakah 2 tokoh seni ragam hias pengangkutan? Seni ragam hias pengangkutan,alat permainan rakyat dan alat domestik. Siapakah tokoh seni ragam hias pengangkutan? Baca versi flipbook dari tajuk 1 seni ragam hias pengangkutan,.

Seni ragam hias pengangkutan alat permainan rakyat dan amin. Seni hias pengangkutan by maiza afif lessons blendspace from 1. Adiguru wau tradisional tokoh kraf tukang ulung perahu tradisional tukang . 1,509 views feb 21, 2021. Seni ragam hias pengangkutan,alat permainan rakyat dan alat domestik. Lencana tidak terkunci yang menunjukkan sepatu bot astronot mendarat di bulan.

Seni hias pengangkutan by maiza afif lessons blendspace from 1. Seni ragam hias pengangkutan,alat permainan rakyat dan alat domestik. Fokus seni ragam hias dalam tajuk ini menjurus kepada pengangkutan, alat permainan rakyat dan alat domestik. Baca versi flipbook dari tajuk 1 seni ragam hias pengangkutan,. Siapakah 2 tokoh seni ragam hias pengangkutan? Siapakah tokoh kepada seni ragam hias pengangkutan?
Baca versi flipbook dari tajuk 1 seni ragam hias pengangkutan,.
Siapakah 2 tokoh seni ragam hias pengangkutan?

Siapakah tokoh kepada seni ragam hias pengangkutan? Lencana tidak terkunci yang menunjukkan sepatu bot astronot mendarat . Adiguru wau tradisional tokoh kraf tukang ulung perahu tradisional tukang . Tokoh seni ragam hias pengangkutan ragam hias atau ornamen adalah berbagai gambar bentuk hias atau motif yang biasanya dibuat meskipun . Seni hias pengangkutan by maiza afif lessons blendspace from 1. Siapakah 2 tokoh seni ragam hias pengangkutan?

Fokus seni ragam hias dalam tajuk ini menjurus kepada pengangkutan, alat permainan rakyat dan alat domestik. Tokoh seni ragam hias pengangkutan ragam hias atau ornamen adalah berbagai gambar bentuk hias atau motif yang biasanya dibuat meskipun .

Tokoh seni ragam hias pengangkutan ragam hias atau ornamen adalah berbagai gambar bentuk hias atau motif yang biasanya dibuat meskipun .
Siapakah tokoh kepada seni ragam hias pengangkutan?

Tokoh seni ragam hias pengangkutan ragam hias atau ornamen adalah berbagai gambar bentuk hias atau motif yang biasanya dibuat meskipun .

Fokus seni ragam hias dalam tajuk ini menjurus kepada pengangkutan, alat permainan rakyat dan alat domestik.
Seni ragam hias pengangkutan,alat permainan rakyat dan alat domestik.

Adiguru wau tradisional tokoh kraf tukang ulung perahu tradisional tukang .
Post a Comment for "Tokoh Seni Ragam Hias Pengangkutan : Tokoh Tokoh Seni Ragam Hias Pengangkutan Alat Permainan Rakyat Alat Domestik Psv Tingkatan 2 Youtube"